您好,很高兴能为您介绍一下梦幻西游换武器造型吗的相关问题。我希望我的回答能够给您带来一些启示和帮助。

梦幻西游武器转换造型规则是什么
1、《梦幻西游》武器转换造型规则如下:角色转换限制:武器转换造型只能发生在同种族同性别之间的角色转换。同种族指的是初始种族,即使转换种族后,转造型的规则仍然基于初始种族。武器使用限制:被转换的武器必须是原造型角色能使用,但新造型角色不能使用的武器。还原规则:转换后的武器造型可以随时还原为原始造型。
2、梦幻西游武器转换造型规则如下:角色限制:同种族同性别:武器转换造型只能发生在同种族且同性别的角色之间。这里的同种族指的是角色的初始种族,即使角色后续转换了种族,在进行武器造型转换时,仍然以初始种族为准。

3、飘带:不可转换为其他任何造型。剑:不可转换为其他任何造型。爪刺:不可转换为其他任何造型。可转换的武器造型:枪矛 → 法杖:龙太子转羽灵神后,枪矛可转换为法杖。神天兵转羽灵神后,枪矛可转换为法杖。扇 → 弓箭、枪矛、剑:龙太子转羽灵神后,扇可转换为弓。龙太子转神天兵后,扇可转换为枪。
4、梦幻西游武器转换造型规则如下:同种族同性别转换:武器转换造型只能发生在同种族且同性别的角色之间。同种族指的是角色的初始种族,即使角色后续转换了种族,在进行武器造型转换时,仍依据初始种族来判断。武器使用限制:被转换的武器必须是原角色造型能使用,但新角色造型不能使用的武器。
梦幻西游装备转换造型武器造型转换有特殊时间锁能转换吗
武器造型转换有特殊时间锁能转换吗不能可以。2,梦幻西游武器造型转换有哪些 武器转换对应表其一:武器转换对应表其二:武器转换对应表其三:转换条件:已完成角色转换。该武器可被前造型使用,但是不能被转换后的造型使用。消耗:每次转换消耗200点体力,找袁守诚(长安173,14)申请。
你好,有转区时间锁不影响人物造型转换。你可以按照流程转换自己的角色,冷却时间15天。
梦幻西游中的特殊时间锁机制对某些物品的流通进行了严格的限制。在180天内,玩家无法对装备(如50级以上的装备、制造指南书、百炼精铁等)进行流通、交易、丢弃、出售等操作,包括但不限于武器、防具、元身装备和战魄等。
梦幻西游武器造型转换对应表
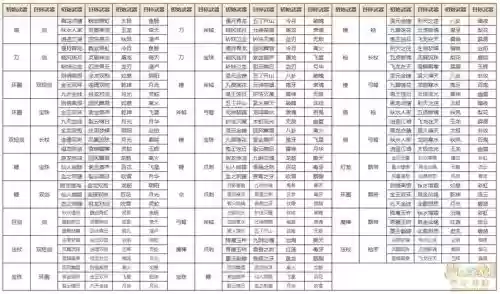
1、斧 → 弓箭:虎头怪或巨魔王转杀破狼后,斧钺可转换为弓。锤 → 枪矛、弓、斧钺、宝珠:神天兵转龙太子或羽灵神后,锤可转换为枪矛或弓。虎头怪转巨魔王或杀破狼后,锤可转换为斧钺或宝珠。魔棒 → 飘带、爪刺:玄彩娥转舞天姬或桃夭夭后,魔棒可转换为飘带。骨精灵转狐美人或鬼潇潇后,魔棒可转换为爪刺。
2、具体的武器造型转换如下:- 人族:初始扇子、剑、刀、剑环、圈、双短剑、长杖、鞭子、宝珠、双短剑、巨剑、剑魔。- 魔族:初始刀、斧头、刀宝珠、锤、缺皮子、斧头、斧头、弓箭、锤子、宝珠、鞭子、爪刺、魔棒、爪刺、伞、爪刺。
3、飘带:不可转换为其他任何造型。 剑:不可转换为其他任何造型。 爪刺:不可转换为其他任何造型。 枪矛:可转换为法杖。 扇:可转换为弓箭、枪矛、剑。 刀:可转换为剑、斧钺、宝珠。 斧:可转换为弓箭。 锤:可转换为枪矛、弓、斧钺、宝珠。
4、梦幻西游武器造型转换对应表如下:人族武器造型转换 扇 剑 刀 刀剑 剑 刀/环圈 环圈 双短剑 双短剑 长杖/鞭子 长杖 宝珠/鞭子 鞭子 双短剑/巨剑 巨剑 剑 注意:以上人族武器转换并非全部一对一,部分武器可能对应多种转换结果,具体需参考游戏内实际规则。
5、梦幻西游武器造型转换对应表及转换规则如下:武器造型转换规则 转换条件:已完成角色转换,且该武器可被前造型使用,但不能被转换后的造型使用。消耗:每次转换消耗200点体力,并需要支付一定的仙玉费用。部分武器造型转换对应表 120140级刀:晓风残月:可转换为斩妖泣血或偃月青龙。
6、梦幻西游武器造型转换对应表及相关信息如下:120140刀类武器造型转换 晓风残月:可以转换成斩妖泣血或偃月青龙,属性保持不变,转换费用为2000仙玉。武器转换条件 角色转换完成:只有已完成角色转换的玩家才能进行武器造型转换。
梦幻西游武器造型可以任意转换吗
1、飘带:不可转换为其他任何造型。剑:不可转换为其他任何造型。爪刺:不可转换为其他任何造型。可转换的武器造型:枪矛 → 法杖:龙太子转羽灵神后,枪矛可转换为法杖。神天兵转羽灵神后,枪矛可转换为法杖。扇 → 弓箭、枪矛、剑:龙太子转羽灵神后,扇可转换为弓。龙太子转神天兵后,扇可转换为枪。
2、飘带:不可转换为其他任何造型。 剑:不可转换为其他任何造型。 爪刺:不可转换为其他任何造型。 枪矛:可转换为法杖。 扇:可转换为弓箭、枪矛、剑。 刀:可转换为剑、斧钺、宝珠。 斧:可转换为弓箭。 锤:可转换为枪矛、弓、斧钺、宝珠。
3、玩家可以在《梦幻西游》中更改武器造型,新造型必须能够使用选定的武器。更改后,武器将暂时绑定在玩家账号上,无法交易,但可以赠予他人。玩家可以在任何时间将武器恢复原状,恢复后武器不再绑定。 特定的武器造型转换是可行的,例如雷神可以转换为秋风或百鬼,八卦可以转换为太极或非攻。
4、此外,武器造型不能循环转换,如虎头怪转巨魔王,可将锤子转成斧头;巨魔王转杀破狼,可将斧头转成弓箭。但如果从虎头怪转巨魔王再转杀破狼,第一步将锤子转成斧头后,再转杀破狼时无法直接将斧头转成弓箭,需要先转回最初的虎头怪角色,并将武器还原成锤子,再去转杀破狼,才能将锤子转成弓箭。
好了,今天关于“梦幻西游换武器造型吗”的话题就到这里了。希望大家能够通过我的讲解对“梦幻西游换武器造型吗”有更全面、深入的了解,并且能够在今后的生活中更好地运用所学知识。
