
25.在热学中经常用L作为体积的单位:

筑道答案:(C)
26.两容器内分别盛有氢气和氦气,若它们的温度和质量分别相等,则:
A.两种气体分子的平均平动动能相等 B.两种气体分子的平均动能相等
C. 两种气体分子的平均速率相等 D. 两种气体的内能相等
筑道答案:(A)
27.对于室温下的双原子分子理想气体在等压膨胀的情况下,系统对外所做的功与从外界吸收的能量之比W/Q等于:
A.2/3 B.1/2 C. 2/5 D. 2/7
筑道答案:(D)
28.设高温热源的热力学温度是低温热源的热力学温度的n倍,则理想气体在一次卡诺循环中传给低温热源的热量是从高温热源吸收热量的:
A. n倍 B. n-1倍 C. 1/ n倍 D.(n+1)/ n倍
筑道答案:(C)
29.相同质量的氢气和氧气分别装在两个容积相同的封闭容器内,温度相同,氢气与氧气压强之比为:
A.1/16 B.16/1 C. 1/8 D. 8/1
筑道答案:(B)
30.一平面简谐波表达式y=-0.05sinπ(t-2x)(SI)则该波的频率v(Hz),波速v(m/s)及波线上各点振动的振幅A(m)依次为:
A.1/2, 1/2,-0.05 B. 1/2, 1,-0.05
C. 1/2, 1/2,0.05 D. 2, 2,0.05
筑道答案:(C)
31.横波以波速u沿x轴负方向传播,t时刻波形曲线如图,则该时刻:

A. A点振动速度大于零 B.B点静止不动
C.C点向下低点 D. D点振动速度小于零
筑道答案:(D)
32.常温下空气中的声速约为:
A.340m/s B. 680m/s C. 1020m/s D.1360m/s
筑道答案:(A)
33.简谐波在传播过程中,一质元通过平衡位置时,若动能为∆E_1,其总机械能等于:
A. ∆E_1 B. 2∆E_1 C. 3∆E_1 D.4∆E_1
筑道答案:(B)
34.两块平玻璃构成空气劈形膜,左边为棱形,用单色平行光垂直入射,若上面的平玻璃慢慢地向上平移,[筑道搜集整理] ,则干涉条纹:
A.向棱边方向平移,条纹间隔变小 B. 向棱边方向平移,条纹间隔变大
C. 向棱边方向平移,条纹间隔不变 D. 向远离棱边的方向平移,条纹间隔不变
筑道答案:(C)
35.在单缝衍射中,对于第二级暗条纹,每个半波带面积S_2,对于第三级暗条纹,每个半波带的面积S_3等于:

筑道答案:(A)
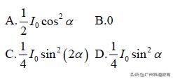
36.使一光强为I_0的平面偏振光先后通过两个偏振片P_1 和P_2,P_1 和P_2的偏振化方向与原入射光光矢量振动方向的夹角分别是α和90°,通过这两个偏振片后的光强I是:

筑道答案:(C)
